2018年成人高考高起点数学(理)真题及答案
一、选择题(每小题5分,共75分,在每小题给出的四个选项中,只有一项是符合题目要求。)
第1题 设集合M={1,2,3,4,5},N={2,4,6},T={4,5,6},则(M∩T)∪N( )
A.{4,5,6}
B.{2,4,5,6}
C.{1,2,3,4,5,6}
D.{2,4,6}
参考答案:B
第2题 设角α的终边通过点P(-5,12),则cotα+sinα等于( )
A.7/13
B.-7/13
C.79/156
D.-79/156
参考答案:C
第3题 函数y=e|x|是( )
A.奇函数,且在区间(0,+∞)上单调递增
B.偶函数,且在区间(-∞,0)上单调递增
C.偶函数,且在区间(-∞,0)上单凋递减
D.偶函数,且在区间(-∞,+∞)上单调递增
参考答案:C
第4题

参考答案:A
第5题 已知cos2α=5/13(3π/4<α<π),则tanα等于( )
A.-3/2
B.-2/3
C.2/3
D.3/2
参考答案:B
第6题 命题甲:直线y=b-x过原点,命题乙:b=0,则( )
A.甲是乙的充分条件但不是必要条件
B.甲是乙的必要条件但不是充分条件
C.甲不是乙的充分条件也不是乙的必要条件
D.甲是乙的充分必要条件
参考答案:D
第7题 从5个男学生和4个女学生中选出3个代表,选出的全是女学生的概率是( )
A.4
B.24
C.1/21
D.1/126
参考答案:C
第8题 已知向量a=(3,4),向量b=(0,-2),则cos的值为( )
A.4/5
B.-4/5
C.2/25
D.-2/25
参考答案:B
第9题 正三棱锥的高为2,底面一边的长为12,则它的侧面积为( )
A.144
B.72
C.48
D.36
参考答案:B
第10题

参考答案:D
第11题

参考答案:B
第12题

参考答案:A
第13题

参考答案:D
第14题

参考答案:B
第15题

参考答案:D
二、填空题(本大题共4小题。每小题4分,共16分)
第16题 函数y=cos2x+2cosx+1的最小值是________
参考答案: -1/2
第17题 设函数f(2t-1)=t2-2t+2,则函数f(x)=________
第18题
第19题 一个圆柱的底面半径和高都与一个球的直径相等,则该圆柱与该球的体积的比为________
参考答案:6:1
三、解答题(共59分。解答应写出推理、演算步骤)
第20题 海面上以灯塔口为中心,半径为3.8km的圆形区域内为暗礁区渔船航行至海面上C处,从岸边的观测站A测得AB=6.22km,AC=2.85km,∠BAC=30°。计算此时渔船和灯塔B的距离并判断渔船是否已经进入了暗礁区(计算结果的公里数保留到个位)

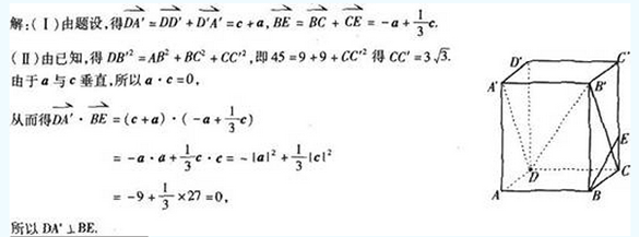
第21题


第22题


第23题


第24题


以上是关于“2018年成人高考高起点数学(理)真题及答案”的全部内容,想获取更多关于浙江省成人高考的相关资讯,如浙江成考报名时间、报考条件、成考院校、浙江成考专业等,敬请关注浙江成考网(www.zjck.zj.cn)。
本文标签:浙江成考 理数 2018年成人高考高起点数学(理)真题及答案
转载请注明:文章转载自(http://www.zjck.zj.cn/)
⊙小编提示:添加【浙江成考网】招生老师微信,即可了解2026年浙江成考政策资讯、成考报名入口、准考证打印入口、成绩查询时间以及领取历年真题资料、个人专属备考方案等相关信息!

(添加“浙江成考网”招生老师微信,在线咨询报名报考等相关问题)
(一)由于考试政策等各方面情况的不断调整与变化,本网站所提供的考试信息仅供参考,请以权威部门公布的正式信息为准。
(二)本网站在文章内容来源出处标注为其他平台的稿件均为转载稿,免费转载出于非商业性学习目的,版权归原作者所有。如您对内容、版权等问题存在异议请与本站联系,我们会及时进行处理解决。
- 2024年浙江省成考高起点《理数》学习考点笔记(排列组合和概率)
- 2024年浙江省成考高起点《理数》学习考点笔记(几何体)
- 2024年浙江省成考高起点《理数》学习考点笔记(圆锥曲线方程)
- 2024年浙江省成考高起点《理数》重点知识复习(3)
- 2024年浙江省成考高起点《理数》重点知识复习(2)
- 2024年浙江省成考高起点《理数》重点知识复习(1)
- 2023年浙江省成考高起点《数学》考点笔记(5)
- 2023年浙江省成考高起点《数学》考点笔记(4)
- 2023年浙江省成考高起点《数学》考点笔记(3)
- 2023年浙江省成考高起点《数学》考点笔记(2)
- 2023年浙江省成考高起点《数学》考点笔记(1)
- 2023年浙江省成考高起点《数学(理)》必备公式3:三角函数
浙江成考咨询老师
微信扫码添加成考老师
①学习交流、②考试提醒、③自考解答
④自考资料、⑤新闻通知、⑥备考指导



