2023年成人高考高起本《文科数学》预习打卡试题及答案一
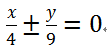
[单选题]不等式
的解集为()。
A{x|x>0或x<-1}
B{x|-1
C{x|x>-1}
D{x|x<0}
参考答案:A
[单选题]已知函数f(x)=ax3.若f'(3)=9,则a=()。
A![]()
B![]()
C1
D3
参考答案:B
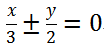
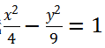
[单选题]双曲线
的渐近线方程为()。
A
B
C
D
参考答案:C
[单选题]

AA选项
BB选项
CC选项
DD选项
参考答案:A
[单选题]某车间有甲、乙两台机床,已知甲机床停机的概率为0.06,乙机床停机的概率为0.07,甲、乙两车床同时停机的概率是()。
A0.13
B0.0042
C0.03
D0.04
参考答案:B
[问答题]掷一枚硬币时,正面向上的概率为
,掷这枚硬币4次,则恰有2次正面向上的概率是______.
参考答案:3/8
[单选题]

AA选项
BB选项
CC选项
DD选项
参考答案:A
[问答题]已知关于t的二次方程t2-6tsinθ+tanθ=0(0<θ<π/2)的两根相等,则sinθ+cosθ的值等于______。
参考答案:![]()
[问答题]已知向量a=(3,2),b=(-4,x)且a⊥b,则x=______。
参考答案:
x=6
[问答题]已知
且为第四象限角,则sin2x=______.
参考答案:
-24/25
以上是关于“2023年成人高考高起本《文科数学》预习打卡试题及答案一”的全部内容,想获取更多关于浙江省成人高考的相关资讯,如浙江成考报名时间、报考条件、成考院校、浙江成考专业等,敬请关注浙江成考网(www.zjck.zj.cn)。
本文标签:浙江成考 文数 2023年成人高考高起本《文科数学》预习打卡试题及答案一
转载请注明:文章转载自(http://www.zjck.zj.cn/)
⊙小编提示:添加【浙江成考网】招生老师微信,即可了解2026年浙江成考政策资讯、成考报名入口、准考证打印入口、成绩查询时间以及领取历年真题资料、个人专属备考方案等相关信息!

(添加“浙江成考网”招生老师微信,在线咨询报名报考等相关问题)
(一)由于考试政策等各方面情况的不断调整与变化,本网站所提供的考试信息仅供参考,请以权威部门公布的正式信息为准。
(二)本网站在文章内容来源出处标注为其他平台的稿件均为转载稿,免费转载出于非商业性学习目的,版权归原作者所有。如您对内容、版权等问题存在异议请与本站联系,我们会及时进行处理解决。
- 2024年浙江省成考高起点《文数》模拟试题(3)
- 2024年浙江省成考高起点《文数》模拟试题(2)
- 2024年浙江省成考高起点《文数》模拟试题(1)
- 2024年浙江省成考高起点《文数》考点试题:排列、组合
- 2024年浙江省成考高起点《文数》考点试题:数列
- 2024年浙江省成考高起点《文数》考点试题:函数
- 2024年浙江省成考高起点《文数》考点试题:集合和简易逻辑
- 2024年浙江省成考高起点《文数》重点考点:等差数列、等比数列
- 2024年浙江省成考高起点《文数》重点考点:数列的通项与求和
- 2024年浙江省成考高起点《文数》重点考点:数列综合应用
- 2024年浙江省成考高起专《文数》精选练习试题
- 2023年成人高考高起本《文科数学》预习打卡试题及答案一
浙江成考咨询老师
微信扫码添加成考老师
①学习交流、②考试提醒、③自考解答
④自考资料、⑤新闻通知、⑥备考指导



