2023年成人高考高起本《文科数学》预习打卡试题及答案四
[单选题]已知a=(3,2),b=(-4,6),则=()。
A0
Bπ/2
C3π/2
Dπ
参考答案:B
[单选题]在自然数1、2、…、100中任取一个数能被3整除的概率是()。
A![]()
B![]()
C![]()
D![]()
参考答案:C
[单选题]已知数列前n项和Sn=1/2(3n2-n)则第5项的值是()。
A7
B10
C13
D16
参考答案:C
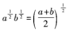
[单选题]已知a,b为任意正实数,则下列等式中恒成立的是()。
Aab=ba
B2a+b=2a+2b
C
Dalgb=blga
参考答案:D
[单选题]与直线ι:3x+2y+1=0相交但不垂直的直线方程是( )
A2x-3y+5=0
B4x-6y+23=0
C3x-2y+1=0
D3x+2y+2=0
参考答案:C
[单选题]
( )
A![]()
B![]()
C![]()
D![]()
参考答案:D
[单选题]把6个苹果平均分给3个小孩,不同的分配方法有()。
A90种
B30种
C60种
D15种
参考答案:A
[单选题]已知M(3,-1),N(-3,5),则线段MN的垂直平分线方程为( )
Ax-y-2=0
Bx+y-2=0
C3x-2y+3=0
Dx-y+2=0
参考答案:D
[单选题]点P(2,5)到直线x+y-9=0的距离是()
A
B2
C![]()
D
参考答案:C
以上是关于“2023年成人高考高起本《文科数学》预习打卡试题及答案四”的全部内容,想获取更多关于浙江省成人高考的相关资讯,如浙江成考报名时间、报考条件、成考院校、浙江成考专业等,敬请关注浙江成考网(www.zjck.zj.cn)。
本文标签:浙江成考 文数 2023年成人高考高起本《文科数学》预习打卡试题及答案四
转载请注明:文章转载自(http://www.zjck.zj.cn/)
⊙小编提示:添加【浙江成考网】招生老师微信,即可了解2026年浙江成考政策资讯、成考报名入口、准考证打印入口、成绩查询时间以及领取历年真题资料、个人专属备考方案等相关信息!

(添加“浙江成考网”招生老师微信,在线咨询报名报考等相关问题)
(一)由于考试政策等各方面情况的不断调整与变化,本网站所提供的考试信息仅供参考,请以权威部门公布的正式信息为准。
(二)本网站在文章内容来源出处标注为其他平台的稿件均为转载稿,免费转载出于非商业性学习目的,版权归原作者所有。如您对内容、版权等问题存在异议请与本站联系,我们会及时进行处理解决。
- 2024年浙江省成考高起点《文数》模拟试题(3)
- 2024年浙江省成考高起点《文数》模拟试题(2)
- 2024年浙江省成考高起点《文数》模拟试题(1)
- 2024年浙江省成考高起点《文数》考点试题:排列、组合
- 2024年浙江省成考高起点《文数》考点试题:数列
- 2024年浙江省成考高起点《文数》考点试题:函数
- 2024年浙江省成考高起点《文数》考点试题:集合和简易逻辑
- 2024年浙江省成考高起点《文数》重点考点:等差数列、等比数列
- 2024年浙江省成考高起点《文数》重点考点:数列的通项与求和
- 2024年浙江省成考高起点《文数》重点考点:数列综合应用
- 2024年浙江省成考高起专《文数》精选练习试题
- 2023年成人高考高起本《文科数学》预习打卡试题及答案一
浙江成考咨询老师
微信扫码添加成考老师
①学习交流、②考试提醒、③自考解答
④自考资料、⑤新闻通知、⑥备考指导



