2023年成人高考高起本《文科数学》预习打卡试题及答案十
[单选题]已知圆的半径为R,弧长为
的弧所对的圆心角等于()。
A![]()
B
C1200
D![]()
参考答案:B
[单选题]从1、2、3、4、5、6、7、8、9这九个数字中,随机取出一个数字,这个数字是奇数的概率是()。
A![]()
B![]()
C![]()
D![]()
参考答案:B
[单选题]若a,b,c分别表示
的顶点A,B,C所对的边长,且(a+b+c)(a+b-c)=3ab,cos(A+B)=()。
A![]()
B![]()
C![]()
D![]()
参考答案:A
[单选题]

AA选项
BB选项
CC选项
DD选项
参考答案:C
[单选题]已知向量a,b满足|a|=1,|b|=4且a·b=2,则a与b的夹角为( )
A![]()
B![]()
C![]()
D![]()
参考答案:C
[单选题]若直线mx+y-1=0与直线4x+2y+1=0平行,则m=()。
A-1
B0
C2
D1
参考答案:C
[单选题]已知平面向量a=(一2,1)与b=(λ,2)垂直,则λ=( )
A-4
B-1
C1
D4
参考答案:C
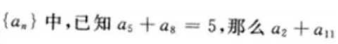
[单选题]等差数列
的值等于()
A5
B10
C15
D20
参考答案:A
[问答题]曲线y=x2-e2+1在点(0,0)处的切线方程为______.
参考答案:
x+y=0
[问答题]50件产品中有45件一级品,5件二级品,从中任取3件,取出的3件全是二级品的概率是______。
参考答案:![]()
以上是关于“2023年成人高考高起本《文科数学》预习打卡试题及答案十”的全部内容,想获取更多关于浙江省成人高考的相关资讯,如浙江成考报名时间、报考条件、成考院校、浙江成考专业等,敬请关注浙江成考网(www.zjck.zj.cn)。
本文标签:浙江成考 文数 2023年成人高考高起本《文科数学》预习打卡试题及答案十
转载请注明:文章转载自(http://www.zjck.zj.cn/)
⊙小编提示:添加【浙江成考网】招生老师微信,即可了解2026年浙江成考政策资讯、成考报名入口、准考证打印入口、成绩查询时间以及领取历年真题资料、个人专属备考方案等相关信息!

(添加“浙江成考网”招生老师微信,在线咨询报名报考等相关问题)
(一)由于考试政策等各方面情况的不断调整与变化,本网站所提供的考试信息仅供参考,请以权威部门公布的正式信息为准。
(二)本网站在文章内容来源出处标注为其他平台的稿件均为转载稿,免费转载出于非商业性学习目的,版权归原作者所有。如您对内容、版权等问题存在异议请与本站联系,我们会及时进行处理解决。
- 2024年浙江省成考高起点《文数》模拟试题(3)
- 2024年浙江省成考高起点《文数》模拟试题(2)
- 2024年浙江省成考高起点《文数》模拟试题(1)
- 2024年浙江省成考高起点《文数》考点试题:排列、组合
- 2024年浙江省成考高起点《文数》考点试题:数列
- 2024年浙江省成考高起点《文数》考点试题:函数
- 2024年浙江省成考高起点《文数》考点试题:集合和简易逻辑
- 2024年浙江省成考高起点《文数》重点考点:等差数列、等比数列
- 2024年浙江省成考高起点《文数》重点考点:数列的通项与求和
- 2024年浙江省成考高起点《文数》重点考点:数列综合应用
- 2024年浙江省成考高起专《文数》精选练习试题
- 2023年成人高考高起本《文科数学》预习打卡试题及答案一
浙江成考咨询老师
微信扫码添加成考老师
①学习交流、②考试提醒、③自考解答
④自考资料、⑤新闻通知、⑥备考指导



