2023年成人高考高起本《文科数学》预习打卡试题及答案九
[单选题]
( )
A![]()
B![]()
C2π,2
D2π,1
参考答案:A
[单选题]设
,
成等比数列,则x等于()。
A1或-2
B1或-1
C0或-2
D-2
参考答案:C
[单选题]抛物线y2=-4上一点P到焦点的距离为4,则它的横坐标是()。
A-4
B-3
C-2
D-1
参考答案:B
[单选题]
()。
A1
Bb
Clogab
Dlogba
参考答案:D
[单选题]设α=
,则()。
Asinα>0,cosα<0
Bsinα>0,cosα>0
Csinα<0,cosα>0
Dsinα<0,cosα<0
参考答案:A
[单选题]设f(x+1)=x(x+1),则f(2)= ( )
A1
B3
C2
D6
参考答案:C
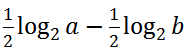
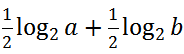
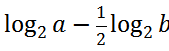
[单选题]若a>0,b>0,则
=()。
A
B
C
D
参考答案:A
[问答题]已知二次函数![]()
图像过点P(1,0),并且对于任意实数x,有f(1+x)=f(1-x)的值。
参考答案:

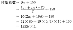
[问答题]用分期付款方式购买家用电器一件,价格为1150元,购买当天先付150元,以后每月这一天都交付50元,并加付欠款的利息,月利率为1%,若交付150元以后的第一个月开始算分期付款的第一个月,20个月全部付清.问分期付款的第十个月该交付多少钱?全部货款付清后,买这件家电实际花了多少钱?
参考答案:
购买时付了150元,欠款1000元,每月付50元,分20次付完,设每月付款数顺次组成数列{an},则a1=50+1000×0.01=60(元),
a2=50+(1000-50)×0.01
=(60-0.5)(元),
a3=50+(1000-50×2)×0.01
=(60-0.5×2)(元),
a4=50+(1000-50×3)×0.01
=(60-0.5×3)(元),
依此类推,得
a10=60-0.5×9=55.5(元),
an=60-0.5(n-1)(1≤n≤20),
所以付款数{an}组成等差数列,公差d=-0.5.全部货款付清后,

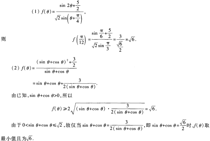
[问答题]设函数

(1)求
;(2)求函数f(θ)最小值。
参考答案:

以上是关于“2023年成人高考高起本《文科数学》预习打卡试题及答案九”的全部内容,想获取更多关于浙江省成人高考的相关资讯,如浙江成考报名时间、报考条件、成考院校、浙江成考专业等,敬请关注浙江成考网(www.zjck.zj.cn)。
本文标签:浙江成考 文数 2023年成人高考高起本《文科数学》预习打卡试题及答案九
转载请注明:文章转载自(http://www.zjck.zj.cn/)
⊙小编提示:添加【浙江成考网】招生老师微信,即可了解2026年浙江成考政策资讯、成考报名入口、准考证打印入口、成绩查询时间以及领取历年真题资料、个人专属备考方案等相关信息!

(添加“浙江成考网”招生老师微信,在线咨询报名报考等相关问题)
(一)由于考试政策等各方面情况的不断调整与变化,本网站所提供的考试信息仅供参考,请以权威部门公布的正式信息为准。
(二)本网站在文章内容来源出处标注为其他平台的稿件均为转载稿,免费转载出于非商业性学习目的,版权归原作者所有。如您对内容、版权等问题存在异议请与本站联系,我们会及时进行处理解决。
- 2024年浙江省成考高起点《文数》模拟试题(3)
- 2024年浙江省成考高起点《文数》模拟试题(2)
- 2024年浙江省成考高起点《文数》模拟试题(1)
- 2024年浙江省成考高起点《文数》考点试题:排列、组合
- 2024年浙江省成考高起点《文数》考点试题:数列
- 2024年浙江省成考高起点《文数》考点试题:函数
- 2024年浙江省成考高起点《文数》考点试题:集合和简易逻辑
- 2024年浙江省成考高起点《文数》重点考点:等差数列、等比数列
- 2024年浙江省成考高起点《文数》重点考点:数列的通项与求和
- 2024年浙江省成考高起点《文数》重点考点:数列综合应用
- 2024年浙江省成考高起专《文数》精选练习试题
- 2023年成人高考高起本《文科数学》预习打卡试题及答案一
浙江成考咨询老师
微信扫码添加成考老师
①学习交流、②考试提醒、③自考解答
④自考资料、⑤新闻通知、⑥备考指导



